by Roger Hellyer.





Click an illustration to enlarge it. More images below.
Indexes are in fact only a small part of this book, as each diagram is supported by an exceedingly detailed text.
Yes, there are over 100 index diagrams to all the small scale maps series that the Ordnance Survey have ever produced, but in addition, each index diagram has details of every map series that used that particular diagram. Over 1,000 map series are listed, giving which sheets were issued or not issued, the format of each series, dates, coloured or un-coloured, and much more. Thus, on page 28 we have the diagram for the one-inch Popular Edition of England and Wales, followed by seven pages listing the other series to use this diagram such as the Land Utilisation Survey of Britain, the London Passenger Transport Map, War Revisions, and all the associated tourist, district, special and experimental maps.
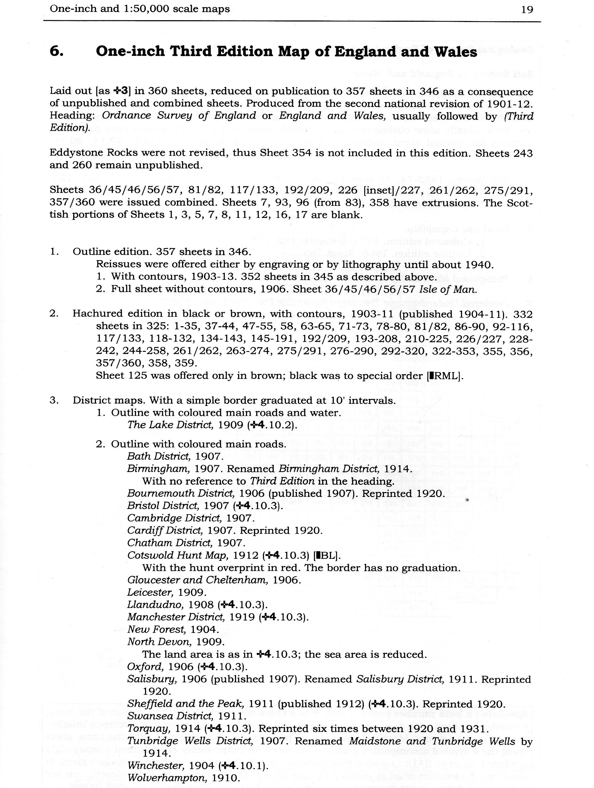
The second image above gives details of the small sheet Third Edition black and white maps, whilst the third image shows what were published as coloured maps. This was an incomplete series, as shown by the lack of sheet numbers, and that some sheets were combined, as shown by the bold lines.
All maps series for England, Wales, Scotland and Ireland are detailed.
Since publication, no new series have been reported, and very few additions added. A wonderful achievement by Roger Hellyer.
Now considered the standard reference work for small scale maps.
Ordnance Survey small-scale maps : indexes 1801-1998. Roger Hellyer. xxiv 264pp illus. bibliog. 1999. New copy.
£12.00 post free plus a free copy of Andrews : History in the Ordnance map





Click an illustration to enlarge it.
If you are new to Ordnance Survey maps, we would suggest buying, Ordnance Survey small-scale maps : indexes 1801-1998 and two others to give a basic collector’s library. The other two books are : Map cover art by John Paddy Browne, and Old Series to Explorer : a field guide to the Ordnance map, Chris Higley, available from the Charles Close Society.